5/5/15
It seems that a lot of people saw it.
The bottom half of a black and white cow leg, complete with hoof, laying in the middle of Rt. 202 just before the E. Rochester State Line.
"I saw it, and I just kept thinking, WOW, that's weird, even for Lebanon", said one woman.
Many others worried if an animal had been injured during transport, and others said the sight was "pretty gross".
Still others figure it must have come from a rendering pick up at one of the local slaughter houses, and just fallen off the truck as it passed on through.
Wherever it came from, there it was, and it seems to have stayed there, in plain view, for most of the late morning and early afternoon.
I called a few people in town who might have had some insight, but no one had heard of any accidents involving a Holstein this afternoon.
"Really?", said one woman, "A COW hoof?"
Perhaps the hoof will remain one of Lebanon's little mysteries.
Wherever it came from, Yes, you really DID see a cow hoof in the middle of Rt. 202 today.
I may not be perfect, but at least I'm not fake.
This page is copyrighted by Deborah Dorey Wilson, The Lebanon Truth Seekers. All rights reserved.
Tuesday, May 5, 2015
MSAD60 and Noble High School Link to School District Budget Informational Videos
MSAD60 is offering some videos to help local taxpayers understand the school district's budget.
If you're planning to attend the Budget Informational Session on May 7th at Noble High School at 7 PM, OR if you're going to be voting in the May 12, 2015, MSAD60 Budget Vote, you're probably going to want to watch these videos beforehand.
You can find the videos on the Noble High School website at: http://www.msad60.org/budget-presentation-videos/
Maine State Police Recruiting Interested Individuals
The Maine State Police will be holding a career informational session on May 29th from 9 a.m. until 11 a.m. This session will be located at the Orland Career Center located at 25 Schoolhouse Rd. in the town of Orland. The Maine State Police have Trooper openings statewide and are seeking qualified applicants who have a strong desire to serve the citizens of our great State! http://www.maine.gov/dps/msp/jobs/trooper_recruitment.html
LIKE the Maine State Police on Facebook at: https://www.facebook.com/mainestatepolice.headquarters?fref=ts
Labels:
Lebanon Help Wanted,
Maine State Police
NFWL and NRA Pair Up to Offer Six College Scholarships
We found this scholarship on the Facebook page of Representative Karen Gerrish.
LIKE Representative Gerrish on Facebook at: https://www.facebook.com/GerrishForMaine?fref=ts
2015 National Foundation for Women Legislators (NFWL)
and
National Regulatory Authority (NRA)
team up to offer
Six $3,000 scholarships to college bound Junior and Senior High School females.
and
An all expense paid trip to the NWFL 2015 Annual Conference
at the Renaissance Hotel
Oklahoma City, OK
September 11-15, 2015
Print and Complete the Forms attached and complete your essay.
Good Luck to All who Apply!!
Granite State Dog Recovery Fields Several Potential Sightings of Lost South Berwick Dogs.
Granite State Dog Recovery always does an amazing job of helping to locate lost or stolen dogs. Today, they fielded several potential sightings of these dogs possibly being walked
by a man and a woman in the Gorham / Scarborough area.
Many people who volunteer to look for lost or stolen animals were in the area today
and plan on returning tomorrow.
As they are saying, It may very well be that these dogs were found by this couple and that they're only giving them care, thinking they are strays. However the dogs are well cared for and healthy.
We're hoping that GSDR continues with their history of finding lost or stolen dogs and reuniting them with their owners.
Granite State Dog Recovery has sent teams out to look for and bring home dogs in NH, VT, ME, MA and CT. What a GREAT organization!!
IF you see or think you see Harley and Lili, Please call the numbers posted on the flier above!!
Thank you!!
You can LIKE Granite State Dog Recovery on Facebook at: https://www.facebook.com/granitestatedogrecovery?fref=ts
Labels:
Lebanon Maine Important Notices
Lebanon Fire Department Works Throughout High Fire Danger Day.
Lebanon Fire Department Responding to Mutual Aid call to Sanford, ME for a woods fire at the Oakdale Cemetery. Photo courtesy of Lebanon Maine Fire Department.
Lebanon, Maine Fire Department Inc.
Today was a busy day for our crews.
They responded to four calls for service.
They responded to four calls for service.
- Mutual aid to Sanford
- Motor Vehicle Crash on Jim Grant Rd...
- Grass fire on Center Rd
- Mutual aid to North Berwick
- Motor Vehicle Crash on Jim Grant Rd...
- Grass fire on Center Rd
- Mutual aid to North Berwick
Thank you to our volunteers for their hard work today and everyday.
You've got to love seeing posts like this from our Fire Department!!!
GREAT job Guys and Gals!!
I'm sure Sanford and North Berwick appreciate the Mutual Aid!!!
Keep up the good work, you're proving you've GOT what it TAKES!!
USDA Announces Grants to Aid Farmer's Markets in Becoming SNAP program Friendly.
|
Contact:
|
USDA Office of Communications (202) 720-4623
|
| USDA Announces Grants to Enable More Farmers Markets to Serve Low-Income Families |
SNAP Recipients Can Now Purchase Fresh Fruit, Vegetables at More Than 6,200
Farmers Markets and Direct Marketing Farms
|
WASHINGTON, May 5, 2015 – Food, Nutrition and Consumer Services Under Secretary
Kevin Concannon today announced the availability of up to $3.3 million in competitive
funding to support the ability of farmers markets to accept Supplemental Nutrition Assistance
Program (SNAP) benefits provided through the U.S. Department of Agriculture (USDA) as a
form of payment. These awards will help expand SNAP participants' access to fresh fruits and
vegetables and other nutritious foods found at farmers markets, while supporting our nation's
farmers and producers.
"We have seen an unprecedented growth in the number of farmers markets accepting
SNAP Electronic Benefits Transfer (EBT) cards in the past six years," said Concannon.
"These awards support the markets that may need administrative help in implementing and
managing EBT service and informing customers that they can use their SNAP benefits at farmers markets." The Under Secretary also announced that there are now more than 6,200 farmers markets and direct marketing farmers authorized to accept SNAP nationwide – an eightfold increase since the beginning of this administration. In fiscal year 2014, approximately $18.7 million in SNAP benefits were used at farmers markets, an increase of 7.5 percent over 2013. Increasing the number of SNAP authorized farmers markets is part of USDA's ongoing mission to support recipients in making healthy food choices.
The Farmers Market SNAP Support Grants will range from $15,000 to $250,000 and must be
designed to increase SNAP client accessibility and participation at farmers markets, and support the establishment, expansion, and promotion of SNAP EBT services at farmers markets. Eligible
applicants include farmers market organizations and associations, non--profit entities, state, local
and tribal nations and other organizations engaged in farmers market management.
The Request for Applications will be published today. Applications are due June 18, 2015.
Grant funds will be awarded in September. For further information about the grant application, visit www.grants.gov.
Supporting farmers markets and expanding access to healthy, local food is a key element of
USDA's Know Your Farmer, Know Your Food initiative which coordinates the Department's effort
on local and regional food systems. Secretary Vilsack has identified local and regional food systems
as one of the four pillars of rural economic development.
USDA's Food and Nutrition Service administers 15 nutrition assistance programs. In addition to the Supplemental Nutrition Assistance Program, these programs include the Special Supplemental
Nutrition Program for Women, Infants and Children, the National School Lunch Program, and the
Summer Food Service Program which together comprise America's nutrition safety net. For more information, visit www.fns.usda.gov.
|
Wakefield Police Alerting Residents to IRS Phone Scam. Do NOT EVER Give Personal Information Over the Phone!!
Alert!!! *** IRS phone scam ***
The Wakefield, NH Police Department reports they have been receiving reports of subjects calling Wakefield/Brookfield residents and identifying themselves as agents of the Internal Revenue Service (IRS). Various interactions include them demanding immediate payments and/or a Law Enforcement response if the payments are not received.We thought it might be best to share their information due to the fact that Lebanon is in such close proximity to their area. Please note that these calls include the subjects KNOWING the last 4 digits of the person's social security number AND their corresponding e mail address.
Use caution
Please do not give out personal information over the phone to unknown subjects.
Labels:
Lebanon Maine Important Notices
UPDATE, with photo. This Memorial is MISSING from Upper Cross and Center Road Intersection.
Photo provided courtesy of Ms. Jill Ham
**UPDATE**
We've spoken to family members Jill and Peggy Ham
who are concerned as to where this marker went.
The family is devastated to have noticed that it had been removed.
The marker was located at the intersection of Upper Cross Road and Center Road,
indicating it was probably NOT removed by a State Road Crew.
If you have any idea where this marker is tonight, the family would like to have it back.Please contact us at lebanontruthseekers@Hotmail.com
for a no-questions-asked retrieval of this lovely memorial to two local Lebanon men.
Thank you.Maine Offers Many Chances For Summer Camp for "Techie" Children.
Thank you to State Representative Karen Gerrish for alerting us to this opportunity for tech minded kids!! There's a summer camp for EVERY child in Maine. These opportunities are not to be missed, they give your children the chance to meet and bond with other children from all over the country who are like minded and enjoy the same things that they do!!
Please take a look at our schedule below. We have camps running in over 20 locations around the state of Maine, so hopefully something is close to you.
You can either print out the Mail-in Registration Form (button to the right) or do online registration (other button to the right). All registrations are on a first come, first served basis. Camps typically start filling up in March, although some won't fill up until June.
You can go to the Online Registration portal (same button) and check currently enrolled numbers. Thanks and I hope we can help your children enjoy the summer while learning a lot about engineering and programming!
There are over 20 Robotics and "Techie" Summer camps listed on this page, taking place all over the State of Maine........ Make sure to enroll now to get your child into the camp of their choice!!
You can learn more about the GREAT programs offered for your "techie" kids by following this link.............. http://camps.mainerobotics.org/
You can LIKE Maine State Representative Karen Gerrish on Facebook HERE: https://www.facebook.com/GerrishForMaine?fref=ts
Labels:
Events Elsewhere in ME,
Events for Children,
Maine State Representative Karen Gerrish Information,
Summer Camp Information
The Lebanon Voice Reveals the TRUTH about Toya, The Dog Reported to Have Been Thrown from a Car in Rochester, NH.
Dog tossed from car story 'a dog that don't hunt'
By: Harrison Thorp
Published: May 5, 2015
ROCHESTER - It may have happened in tough guy movie star Steven Seagall's ''Out for Justice," but it didn't happen last Wednesday in Rochester.
According to Rochester Police Capt. Gary Boudreau who spoke exclusively with The Lebanon Voice on Tuesday, "based upon the evidence, interviews and a review of the information gained, we learned the dog was not thrown from the window of a vehicle."
The story of Toya, actually an American bulldog, not a pit bull, and the alleged atrocity near Norway Plains Road, was first publicized last week in The Lebanon Voice after being initially posted on the Rochester Police Facebook Page.
The post drew more than 1,429 shares and its comments and reply string is in the hundreds.
The enormous amount of innuendo and accusations on the city Police Department's Facebook Page spurred another local newspaper to delve into the social media frenzy and produce a story based solely on Facebook facts, something that sounds more like an oxymoron than a story fulcrum, and something The Lebanon Voice does not do.
The nexus of the controversy now seems to have been a squabble between several individuals who knew the dog and its owner. Boudreau told The Lebanon Voice charges of filing false reports could still be forthcoming.
Boudreau did not say whether or not Toya would be released to her owner or not, and added that the probe is not completed.
"The investigation is continuing at this time and potential criminal charges could result at the conclusion," Boudreau told The Voice.
For those who aren't familiar with "Out for Justice," Seagall rescues and befriends a puppy after he see it thrown from a moving car. At the end of the film Seagall delivers some animal cruelty justice at Cony Island when he by chance sees the man's car, confronts him about his misdoings and delivers a good stiff kick to his privates, doubling him to the ground. The dog then wanders over to his former owner and tinkles on his neck.
Thanks to Harrison Thorp of the Lebanon Voice for allowing this repost.
LIKE The Lebanon Voice on Facebook at: https://www.facebook.com/pages/The-Lebanon-Voice/325841647482468?fref=ts
According to Rochester Police Capt. Gary Boudreau who spoke exclusively with The Lebanon Voice on Tuesday, "based upon the evidence, interviews and a review of the information gained, we learned the dog was not thrown from the window of a vehicle."
The story of Toya, actually an American bulldog, not a pit bull, and the alleged atrocity near Norway Plains Road, was first publicized last week in The Lebanon Voice after being initially posted on the Rochester Police Facebook Page.
| The miscreant in 'Out for Justce' gets his just desserts. (Courtesy image.) |
The post drew more than 1,429 shares and its comments and reply string is in the hundreds.
The enormous amount of innuendo and accusations on the city Police Department's Facebook Page spurred another local newspaper to delve into the social media frenzy and produce a story based solely on Facebook facts, something that sounds more like an oxymoron than a story fulcrum, and something The Lebanon Voice does not do.
The nexus of the controversy now seems to have been a squabble between several individuals who knew the dog and its owner. Boudreau told The Lebanon Voice charges of filing false reports could still be forthcoming.
Boudreau did not say whether or not Toya would be released to her owner or not, and added that the probe is not completed.
"The investigation is continuing at this time and potential criminal charges could result at the conclusion," Boudreau told The Voice.
For those who aren't familiar with "Out for Justice," Seagall rescues and befriends a puppy after he see it thrown from a moving car. At the end of the film Seagall delivers some animal cruelty justice at Cony Island when he by chance sees the man's car, confronts him about his misdoings and delivers a good stiff kick to his privates, doubling him to the ground. The dog then wanders over to his former owner and tinkles on his neck.
Thanks to Harrison Thorp of the Lebanon Voice for allowing this repost.
LIKE The Lebanon Voice on Facebook at: https://www.facebook.com/pages/The-Lebanon-Voice/325841647482468?fref=ts
Maine Forest Service Advises of High Fire Danger.
Maine Fire Danger today has been reported from every agency.
Local agencies, Maine Emergency Management, and the Maine Forest Service have all advised Maine residents to use extreme caution.
Please be safe,
NO OUTDOOR BURNING today!!!
Reminder!!! As Summer Temperatures Rise, Don't Leave Your Pet in Your Car!!!
Even for a few minutes, leaving your pet in the car
may cause irreversible damage!!!
Better SAFE than SORRY!!
If you love them, Leave them HOME!!
Labels:
Animal Welfare Society,
Farm and Garden
May is Stroke Awareness Month!! York Hospital Shares Information on Recognizing the Signs of Stroke.
York Hospital, in recognition of Stroke Awareness Month has shared the following video on how to determine if someone is having a stroke, and the importance on acting quickly.
You can LIKE York Hospital on Facebook at: https://www.facebook.com/YorkHospitalYorkME?fref=ts
Please watch the following video and make yourself aware and alert to the signs and symptoms of Stroke, and how to detect them using the FAST method.
VIEW THE VIDEO HERE: https://www.youtube.com/watch?v=YHzz2cXBlGk
YOUR chance to say THANK YOU to the Unsung Heroes of Lebanon.
Sometimes you see things going on around town and you just wish that you had the chance to say, "Thank You". So here's your chance!!!
1.) I'll start by saying that I got a nice call from a lady named Diana asking about the Lebanon Clean Up Day. She was a little worried that the scheduled day was so far into the summer that the weeds and grasses on the sides of our roads would have grown too high for any amount of good clean up work to be done. When I explained to Diana WHY the date had been moved so far into the future, (change of management, Scouting activity, Road crew wedding) she was kind and polite and understood the changes. I don't know what road she lives on in town, but she said she was going to get busy now, cleaning up her road and making things look clean and nice. She would take the debris and trash to the Transfer station on her own.
For this, we say, THANK YOU Diana!!
And please come and join us at the barbecue for Clean Up Day, scheduled for June 13, 2015 from 1-3 PM.
2.) Thank you number two goes to the unknown resident I saw cleaning up the roadside on Merchant's Row last night. As I was coming home from the Selectmen's meeting around 6:30 PM, I had to make a stop way down on Merchant's Row. As I turned the corner from Upper Guinea Road onto Merhcant's and started down, I noticed a man crossing the street from his home and picking up armloads of trash from the roadside. I waved, he waved, and I made a mental note to write a big THANK YOU to this unknown man!!
3.) Thank you to the many people who have written and e mailed, called and text messaged me with happenings and events going on in Lebanon. The response has been tremendous and each of you who has messaged has made our jobs that much easier in reporting the local GOOD things in Lebanon. THANK YOU!!
4.) There were some questions at last night's Selectmen's meetings regarding who takes care of mowing some of the ball fields around town. The answer surprised me. It's Chris Gilpatrick, and he does them free of charge!! THANK YOU!! Much appreciated!!
5.) It was noted at the Selectmen's meeting that an unknown resident has taken the time to sweep all that leftover Winter sand out of the intersection at Emery's Mill Road. The Road Superintendent said he had plans of scooping up the piles left alongside the road. WAY TO GO, unnamed Lebanon resident!! You may easily have prevented an auto accident from occurring!! THANK YOU!!
If you've seen someone out and about in Lebanon doing something you'd like to say THANK YOU for, please enter your THANK YOU in the comments section below, even if you don't know their name!!!
Portland Press Herald article on Moose Permits in Maine for 2015 Season.
Maine to issue 9 percent fewer moose hunting permits this year
By Deirdre Fleming Staff Writer
dfleming@pressherald.com
| @FlemingPph | 207-791-6452
Read Article
Maine’s moose herd appears to have fared better this winter than last year, when widespread mortality caused by winter ticks led to a 25-percent decrease in moose-hunting permits.
As a result, the number of moose permits allocated this year will remain the same as recommended by state biologists in January: 2,815, to be distributed during a June 13 lottery in Bethel. That represents a 9 percent decrease from 2014, when 3,095 permits were allotted.
Where: Bethel
To apply: Visit www5.informe.org/online/moose. Applications are being taken by the state until May 14; 2,815 permit holders will be drawn for the fall moose hunt.
Just three of 35 adult moose (8 percent) in a radio-collar study died this winter, said Maine moose biologist Lee Kantar. That compares with 10 of 30 adult moose (33 percent) who died as part of the same study in 2014. This winter, 21 of 35 radio-collared calves died (or 60 percent), compared with 22 of 30 calves (73 percent) last year.
Kantar is cautiously optimistic about the survey results.
“It’s something,” said Kantar. “Hopefully we’ll make it this week without seeing (more evidence of mortality). Right now the snow is just about gone. Moose are able to go where they want. Hopefully they’ll be able to build up their protein reserves. Last year by May 1 the worst of winter was over.”
This marks the second year of the radio-collar study, which is being conducted in conjunction with a similar study in New Hampshire. Kantar said biologists in both states need more years of data to establish trends.
“It’s still not clear. You have to be careful. People feel if there are a lot of parasites that means there are too many animals on the landscape,” Kantar said. “That’s one basic way to look at it. On the other hand, there are other factors. The weather is very complicated when it comes to winter ticks.”
By contrast, New Hampshire reported an increase in moose mortality from last year.
New Hampshire lost 74 percent of the calves (20 of 27) collared in the study compared to 64 percent (13 of 22) last year. New Hampshire lost three out of 35 adult moose wearing collars this year, compared with one of 21 in 2014.
New Hampshire moose biologist Kristine Rines said biologists across North America don’t know exactly what drives the worst cases of mortality caused by winter ticks, but they believe it is connected to a warming climate.
“We have some knowledge about what we think happens, but by and large if you look at the way climatologists say things are going, you may not see moose in the (lower 48 states) in the future, unless it’s at very high elevations where there are longer winters,” Rines said.
“It all depends on how quick winter comes and how quickly it leaves. The weather is the biggest variable. But last I knew there were no hard and fast rules about what is happening.”
Rines said Maine’s more northerly climate may give moose here a leg up over New Hampshire’s herd, given that the northern border of New Hampshire reaches only as far north as Dover-Foxcroft, about halfway up Maine.
Maine biologists have collared moose to the west of Moosehead Lake, just north of Dover-Foxcroft. And Kantar said next year they hope to include a sample of moose at the very northern end of Maine, near Fort Kent.
“This is why we asked Maine to join us in this study, so we could look at animals farther north,” Rines said. “With hopefully more years in this study, we’ll see what’s changing. We can’t jump to conclusions this year.”
You can access this and other articles on the Portland Press Herald website at: http://www.pressherald.com/
As a result, the number of moose permits allocated this year will remain the same as recommended by state biologists in January: 2,815, to be distributed during a June 13 lottery in Bethel. That represents a 9 percent decrease from 2014, when 3,095 permits were allotted.
Moose lottery
When: 3 p.m. June 13Where: Bethel
To apply: Visit www5.informe.org/online/moose. Applications are being taken by the state until May 14; 2,815 permit holders will be drawn for the fall moose hunt.
Kantar is cautiously optimistic about the survey results.
“It’s something,” said Kantar. “Hopefully we’ll make it this week without seeing (more evidence of mortality). Right now the snow is just about gone. Moose are able to go where they want. Hopefully they’ll be able to build up their protein reserves. Last year by May 1 the worst of winter was over.”
This marks the second year of the radio-collar study, which is being conducted in conjunction with a similar study in New Hampshire. Kantar said biologists in both states need more years of data to establish trends.
“It’s still not clear. You have to be careful. People feel if there are a lot of parasites that means there are too many animals on the landscape,” Kantar said. “That’s one basic way to look at it. On the other hand, there are other factors. The weather is very complicated when it comes to winter ticks.”
By contrast, New Hampshire reported an increase in moose mortality from last year.
New Hampshire lost 74 percent of the calves (20 of 27) collared in the study compared to 64 percent (13 of 22) last year. New Hampshire lost three out of 35 adult moose wearing collars this year, compared with one of 21 in 2014.
New Hampshire moose biologist Kristine Rines said biologists across North America don’t know exactly what drives the worst cases of mortality caused by winter ticks, but they believe it is connected to a warming climate.
“We have some knowledge about what we think happens, but by and large if you look at the way climatologists say things are going, you may not see moose in the (lower 48 states) in the future, unless it’s at very high elevations where there are longer winters,” Rines said.
“It all depends on how quick winter comes and how quickly it leaves. The weather is the biggest variable. But last I knew there were no hard and fast rules about what is happening.”
Rines said Maine’s more northerly climate may give moose here a leg up over New Hampshire’s herd, given that the northern border of New Hampshire reaches only as far north as Dover-Foxcroft, about halfway up Maine.
Maine biologists have collared moose to the west of Moosehead Lake, just north of Dover-Foxcroft. And Kantar said next year they hope to include a sample of moose at the very northern end of Maine, near Fort Kent.
“This is why we asked Maine to join us in this study, so we could look at animals farther north,” Rines said. “With hopefully more years in this study, we’ll see what’s changing. We can’t jump to conclusions this year.”
You can access this and other articles on the Portland Press Herald website at: http://www.pressherald.com/
Brother Seeks Thief of Road Fatality Memorial Marker.
**UPDATE**...........we've spoken to family members Jill and Peggy Ham who are concerned as to where this marker went. The family is devastated to have noticed that it had been removed.
The marker was located at the intersection of Upper Cross Road and Central Road, indicating it was probably NOT removed by a State Road Crew.
If you have any idea where this marker is tonight, the family would like to have it back.
Please contact us at lebanontruthseekers@Hotmail.com for a no-questions-asked retrieval of this lovely memorial to two local Lebanon men.
Thank you.
This post was found on another Facebook page...........
Anyone having any idea as to the whereabouts of the memorial marker for the Barker/Ham brothers, please contact Lebanon Maine Truth Seekers via message.........
We're Sorry Frank, that someone was so insensitive as to have stolen the marker, of Billy Barker and Jimmy Ham.
What on EARTH would anyone want with a marker commemorating someone's death??
...
Sometimes it makes you wonder!!!
Posting courtesy of I Grew UP IN LEBANON Facebook Page:
Posted by: Frank Barker
I think the Scumbags that stole the Memorial to my Brothers Billy and Jimmy Ham are real lowlife dirtbags.
I grew up in Lebanon. I know most of the folks who still live there,....we grew up together. I know most of us were never "Angels", by a Long shot. But We at least had a little respect for memorials and monuments, especially the ones for Loved Ones who are Gone.
I Hope and Pray, whoever you are, that you are caught and Prosecuted accordingly,....you piece of Crap!!
Posting courtesy of I Grew UP IN LEBANON Facebook Page:
Posted by: Frank Barker
I think the Scumbags that stole the Memorial to my Brothers Billy and Jimmy Ham are real lowlife dirtbags.
I grew up in Lebanon. I know most of the folks who still live there,....we grew up together. I know most of us were never "Angels", by a Long shot. But We at least had a little respect for memorials and monuments, especially the ones for Loved Ones who are Gone.
I Hope and Pray, whoever you are, that you are caught and Prosecuted accordingly,....you piece of Crap!!
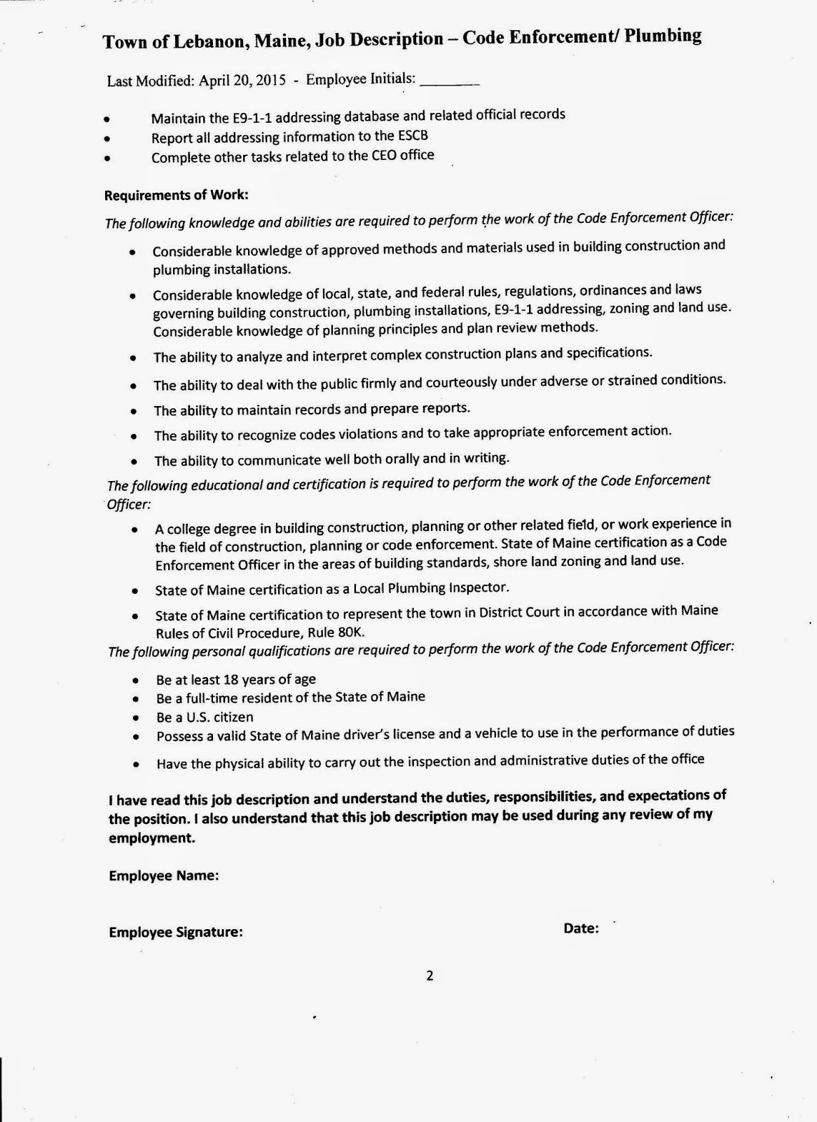
Town of Lebanon Seeking Code Enforcement Officer / Plumbing Inspector
The Town of Lebanon is actively seeking qualified applicants for the position of Code Enforcement Officer / Plumbing Inspector.
Interested parties should present their resume to the Town Office, 15 Upper Guinea Road, Lebanon, ME.
Job Description is as stated in the following attached pages.
Interested parties should present their resume to the Town Office, 15 Upper Guinea Road, Lebanon, ME.
Job Description is as stated in the following attached pages.
Subscribe to:
Comments (Atom)















.jpg)






