Would you like to know how your Selectmen voted to recommend the Referendum articles to the voting public??
Here's how it went!!
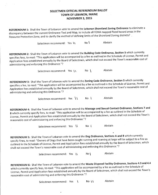
There are a total of 14 Referendum Questions.
Referendum 1. Proposed by the Lebanon Planning Board to eliminate an ongoing discrepancy between what the current MAP and TEXT say, in order to use the FEMA map created by a Federal agency.
Select Board Chairman Thompson YES
Selectman Royce Heath NO
Selectman Paul Nadeau YES
Referendum 2. Proposed by Mandy Grenier, Town Clerk of Lebanon Maine. This question moves to take the outdated fees out of the town's ordinance language, allowing the Selectmen to set the fees for Building Licenses, Permits and Applications on a yearly basis to help contain the costs to the taxpayers in general, asking instead that these costs be paid by the people actually utilizing the services.
Select Board Chairman Thompson, YES
Selectman Royce Heath NO
Selectman Paul Nadeau YES
Referendum 3. Proposed by Mandy Grenier, Town Clerk of Lebanon Maine. This question moves to take the outdated fees out of the town's ordinance language, allowing the Selectmen to set the fees for the Zoning Code Ordinance on a yearly basis to help contain the costs to the taxpayers in general, asking instead that these costs be paid by the people actually utilizing the services.
Select Board Chairman Thompson, YES
Selectman Royce Heath NO
Selectman Paul Nadeau YES
Referendum 4. Proposed by Mandy Grenier, Town Clerk of Lebanon Maine. This question moves to take the outdated fees out of the town's ordinance language, allowing the Selectmen to set the fees for the Message and Sexual Conduct Ordinance on a yearly basis to help contain the costs to the taxpayers in general, asking instead that these costs be paid by the people actually utilizing the services.
Select Board Chairman Thompson, YES
Selectman Royce Heath NO
Selectman Paul Nadeau YES
Referendum 5. Proposed by Mandy Grenier, Town Clerk of Lebanon Maine. This question moves to take the outdated fees out of the town's ordinance language, allowing the Selectmen to set the fees for the Dog Ordinance on a yearly basis to help contain the costs to the taxpayers in general, asking instead that these costs be paid by the people actually utilizing the services.
Select Board Chairman Thompson, YES
Selectman Royce Heath NO
Selectman Paul Nadeau YES
Referendum 6. Proposed by Mandy Grenier, Town Clerk of Lebanon Maine. This question moves to take the outdated fees out of the town's ordinance language, allowing the Selectmen to set the fees for the Waste Disposal Facility Ordinance on a yearly basis to help contain the costs to the taxpayers in general, asking instead that these costs be paid by the people actually utilizing the services.
Select Board Chairman Thompson, YES
Selectman Royce Heath NO
Selectman Paul Nadeau NO
Referendum 7. Proposed by Mandy Grenier, Town Clerk of Lebanon Maine. This question moves to take the outdated fees out of the town's ordinance language, allowing the Selectmen to set the fees for the Mass Gathering Ordinance on a yearly basis to help contain the costs to the taxpayers in general, asking instead that these costs be paid by the people actually utilizing the services.
Select Board Chairman Thompson, YES
Selectman Royce Heath NO
Selectman Paul Nadeau NO
Referendum 8. Proposed by Mandy Grenier, Town Clerk of Lebanon Maine. This question moves to take the outdated fees out of the town's ordinance language, allowing the Selectmen to set the fees for the Special Amusement Ordinance on a yearly basis to help contain the costs to the taxpayers in general, asking instead that these costs be paid by the people actually utilizing the services.
Select Board Chairman Thompson, YES
Selectman Royce Heath NO
Selectman Paul Nadeau YES
Referendum 9. Proposed by Mandy Grenier, Town Clerk of Lebanon Maine and Mike Beaullieu, Lebanon Code Enforcement Officer. This question moves to create a permitting and regulation structure for any and all Festivals and Events expecting more than 250 people in attendance. It includes requirements for toileting facilities, parking, water, and a 30 day advanced notice for permit applications.
Select Board Chairman Thompson, YES
Selectman Royce Heath YES
Selectman Paul Nadeau YES
Referendum 10. Proposed by Mike Beaullieu, Lebanon Code Enforcement Officer. This question moves to create a standard of 16 inches on center for all non load bearing interior walls.
Select Board Chairman Thompson, YES
Selectman Royce Heath NO
Selectman Paul Nadeau YES
Referendum 11. Proposed by Mike Beaullieu, Lebanon Code Enforcement Officer. This question moves to take the 2 year expiration date of currently issued Lebanon Building Permits and have them expire after 1 year with the possibility of an extension upon review by the Code Enforcement Officer.
Select Board Chairman Thompson, YES
Selectman Royce Heath NO
Selectman Paul Nadeau YES
Referendum 12. Proposed by Mike Beaullieu, Lebanon Code Enforcement Officer. This question moves to create the need for an Electrical Permit and Inspection process for all new construction, additions, and remodels.
Select Board Chairman Thompson, YES
Selectman Royce Heath NO
Selectman Paul Nadeau NO
Referendum 13. Proposed by Mandy Grenier, Town Clerk of Lebanon Maine and Mike Beaullieu, Lebanon Code Enforcement Officer. This question moves to require applicants for a Mass Gathering Permit to submit their application no later than thirty (30) days prior to the event.
Select Board Chairman Thompson, YES
Selectman Royce Heath NO
Selectman Paul Nadeau NO
Referendum 14. Proposed by the Lebanon Maine Board of Selectmen. This question moves to authorize the removal of the wall between the current Selectmen's Meeting office and the current Code Enforcement Officer's office in order to create a larger public meeting room at the Town Office.
Select Board Chairman Thompson, YES
Selectman Royce Heath YES
Selectman Paul Nadeau YES
The Lebanon Budget Committee voted 4 in favor and 2 opposed
Chip Harlow, Bettie Harris Howard, Nancy Neubert, and Skip Wood in favor
and Chris Gilpatrick and Laura Bragg opposed
(see video of Budget Committee Meeting of 9/10/15)



